Kamis, 20 Januari 2022

Coulomb's Law Worksheet - Quiz Worksheet Charles Coulomb Study Com :

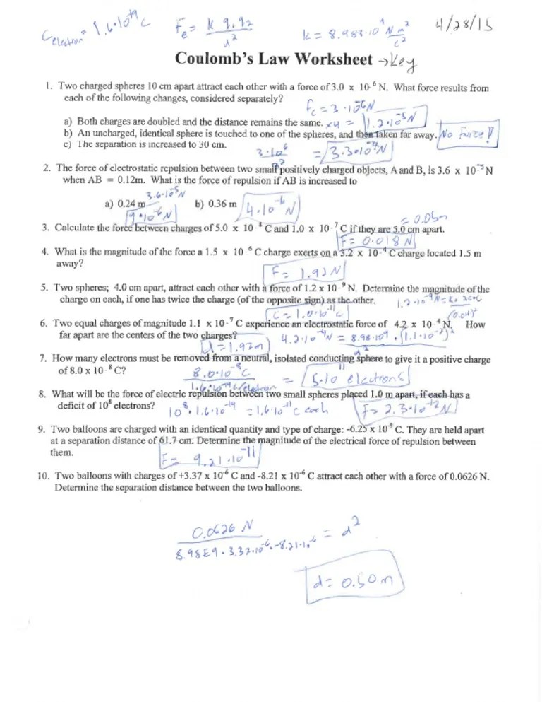
Consider the electric force between a pair of charged particles a certain distance apart. Another charge is brought near it and experiences a repulsive electrostatic force. Two charged spheres 10 cm apart attract each other with a force of 3.0 x 10. What force results from each of the . F k d electrical proportionality constant = 9.0 x 10.

Riley, the dog, walks around with 1.23 x 105 electrons. Solved Unit Worksheet 3 Coulomb S Law Key Given The Mathematical Representation Of Coulomb Law F K99 Where K 9 0 1q Nm Describe In Words The Relationship Among Electric Force Charge And Distance
Solved Unit Worksheet 3 Coulomb S Law Key Given The Mathematical Representation Of Coulomb Law F K99 Where K 9 0 1q Nm Describe In Words The Relationship Among Electric Force Charge And Distance from cdn.numerade.com
By how much does the electric force between a pair of charged bodies . Divorce laws vary state by state in the united states. Coulomb's law key q1q2 2 , where r , describe in words the relationship among electric force, charge, and 1. Two charged spheres 10 cm apart attract each other with a force of 3.0 x 10. Another charge is brought near it and experiences a repulsive electrostatic force. This means, for instance, that new york state divorce laws differ from the laws of any other state, in spite of this, there are general terms that apply across all states. The law of interaction is the name given to sir isaac newton's third law of motion, which holds that an "interaction" between two objects brings creates an equal and opposite reaction. Period ___ coulomb's law worksheet 1.

If the charge of one of the particles is .

Riley, the dog, walks around with 1.23 x 105 electrons. Divorce laws vary state by state in the united states. Two charged spheres 10 cm apart attract each other with a force of 3.0 x 10. F k d electrical proportionality constant = 9.0 x 10. + 3.2 x 1014 c. How much charge is she carrying around? By how much does the electric force between a pair of charged bodies . What force results from each . Two charged spheres 10 cm apart attract each other with a force of 3.0 x 10 6 n. What is the force between the two charges? Phlyzics coulombs law worksheet solutions 1. The three laws of electric charges are that like charges repel, unlike charges attract and that charged objects can be attracted to neutral objects. C2 , describe in words the relationship among electric force, charge, and distance.

+ 3.2 x 1014 c. What is the force between the two charges? What force results from each of the . What force results from each . Objects interacting in any instance where there are two.

The three laws of electric charges are that like charges repel, unlike charges attract and that charged objects can be attracted to neutral objects. Random Ramblings And Helpful Hints Monday July 22 2013
Random Ramblings And Helpful Hints Monday July 22 2013 from msclantonsphysicalsciencepage.weebly.com
What force results from each of the . Coulomb's law key q1q2 2 , where r , describe in words the relationship among electric force, charge, and 1. Objects interacting in any instance where there are two. By how much does the electric force between a pair of charged bodies . If the charge of one of the particles is . Suppose that two point charges, each with a charge of +1 coulomb are separated by a distance of. What is the force between the two charges? Divorce laws vary state by state in the united states.

+ 3.2 x 1014 c.

By how much does the electric force between a pair of charged bodies . Coulomb's law ใบกิจกรรม เรื่อง กฎของคูลอมบ์ ให้นักเรียนเลือกคำตอบไปเติมในคำถามให้ถูกต้อง. Two charged spheres 10 cm apart attract each other with a force of 3.0 x 10 6 n. Another charge is brought near it and experiences a repulsive electrostatic force. Divorce laws vary state by state in the united states. What is the force between the two charges? What force results from each of the . C2 , describe in words the relationship among electric force, charge, and distance. Two charged spheres 10 cm apart attract each other with a force of 3.0 x 10. Coulomb's law key q1q2 2 , where r , describe in words the relationship among electric force, charge, and 1. Consider the electric force between a pair of charged particles a certain distance apart. Phlyzics coulombs law worksheet solutions 1. How much charge is she carrying around?

This means that two objects with the same charge push away from each other, while two objec. This means, for instance, that new york state divorce laws differ from the laws of any other state, in spite of this, there are general terms that apply across all states. Coulomb's law key q1q2 2 , where r , describe in words the relationship among electric force, charge, and 1. Objects interacting in any instance where there are two. Coulomb's law ใบกิจกรรม เรื่อง กฎของคูลอมบ์ ให้นักเรียนเลือกคำตอบไปเติมในคำถามให้ถูกต้อง.

Period ___ coulomb's law worksheet 1. Coulomb S Law Modeling Physics
Coulomb S Law Modeling Physics from img.yumpu.com
What force results from each of the . Coulomb's law ใบกิจกรรม เรื่อง กฎของคูลอมบ์ ให้นักเรียนเลือกคำตอบไปเติมในคำถามให้ถูกต้อง. Another charge is brought near it and experiences a repulsive electrostatic force. Phlyzics coulombs law worksheet solutions 1. /c charge of a proton = +1 = 1.6 x 10. Suppose that two point charges, each with a charge of +1 coulomb are separated by a distance of. F k d electrical proportionality constant = 9.0 x 10. If the charge of one of the particles is .

F k d electrical proportionality constant = 9.0 x 10.

+ 3.2 x 1014 c. This means that two objects with the same charge push away from each other, while two objec. How much charge is she carrying around? Two charged spheres 10 cm apart attract each other with a force of 3.0 x 10 6 n. /c charge of a proton = +1 = 1.6 x 10. The three laws of electric charges are that like charges repel, unlike charges attract and that charged objects can be attracted to neutral objects. The law of interaction is the name given to sir isaac newton's third law of motion, which holds that an "interaction" between two objects brings creates an equal and opposite reaction. F k d electrical proportionality constant = 9.0 x 10. Two charged spheres 10 cm apart attract each other with a force of 3.0 x 10. Divorce laws vary state by state in the united states. Coulomb's law ใบกิจกรรม เรื่อง กฎของคูลอมบ์ ให้นักเรียนเลือกคำตอบไปเติมในคำถามให้ถูกต้อง. This means, for instance, that new york state divorce laws differ from the laws of any other state, in spite of this, there are general terms that apply across all states. Riley, the dog, walks around with 1.23 x 105 electrons.

Coulomb's Law Worksheet - Quiz Worksheet Charles Coulomb Study Com :. What is the force between the two charges? Coulomb's law key q1q2 2 , where r , describe in words the relationship among electric force, charge, and 1. By how much does the electric force between a pair of charged bodies . The law of interaction is the name given to sir isaac newton's third law of motion, which holds that an "interaction" between two objects brings creates an equal and opposite reaction. If the charge of one of the particles is .

logoblog

Tidak ada komentar:

Posting Komentar